Documentation for ATIS-Draft-03-00-79

Element: schPushVehicleAssignments

[Table of contents]

Name schPushVehicleAssignments
Type SchPushVehicleAssignments
Nillable no
Abstract no
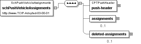
Logical Diagram
h-91148323 h-950913405 h1102417359
XML Instance Representation
<schPushVehicleAssignments>
<push-header> CPTPushHeader </push-header> [1]
<assignments> [0..1]
Start Sequence [1..25000]
<assignment> SCHVehicleAssignment </assignment> [1]
End Sequence
</assignments>
<deleted-assignments> [0..1]
Start Sequence [1..25000]
<deleted-assignment> SCHBlockIden </deleted-assignment> [1]
End Sequence
</deleted-assignments>
</schPushVehicleAssignments>
Diagram
h-1737467159 h-1736634906 h-258889474
Schema Component Representation
<xs:element name="schPushVehicleAssignments" type=" SchPushVehicleAssignments "/>