Documentation for ATIS-Draft-03-00-79

Element: ccPollResults

[Table of contents]

Name ccPollResults
Type CcPollResults
Nillable no
Abstract no
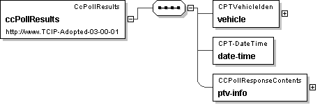
Logical Diagram
h-1556768535 h-2108880756
XML Instance Representation
<ccPollResults>
<vehicle> CPTVehicleIden </vehicle> [1]
<date-time> CPT-DateTime </date-time> [1]
<ptv-info> CCPollResponseContents </ptv-info> [1]
</ccPollResults>
Diagram
h1471596526 h1272267302 h-1696818305
Schema Component Representation
<xs:element name="ccPollResults" type=" CcPollResults "/>